
叶绿素铜钠是以富含叶绿素的天然植物为原料, 经过萃取精制加工所得的纯天然叶绿素或叶绿素的衍生物。
【欧洲色素索引号】 E 141
【化学文摘索引号】 11006-34-1
【性 状】应为墨绿色颗?;蚍勰欣嗨瓢防嗷衔锏奶厥獬粑?,有吸湿性,水溶液显碱性,在水中易溶,在乙醇中微溶,在乙醚中不溶。
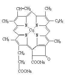
【分子式和分子量】
分子式 分子量
叶绿素铜钠(二钠) C34H30O6N4CuNa2 700.161
叶绿素铜钠(三钠) C34H29O6N4CuNa3 722.142
【结构式】

【参照标准】食品安全国家标准 食品添加剂叶绿素铜钠盐 GB26406-2011,国家药品标准WS-10001-(HD-0414)-2002-2017和美国药典USP。
【贮 存】遮光、密闭、在干燥处储存。